SPE Redefines PoE
Image Source:
xiaoliangge/Stock.adobe.com
By Bill Schweber for Mouser Electronics
Published June 21, 2022
Power over Ethernet (PoE) is just what the name implies: a way to send substantial and valuable amounts of power
over the same copper cabling that carries the Ethernet data. It enables remote, Internet-addressable devices to
receive their operating power and leverage the benefits of Ethernet connectivity. This dual power/data
capability is useful for Internet of Things (IoT) applications, such as sensors and HVAC controllers, building
security systems (cameras, elevators, fire panels, smart locks, and entry/exit), and essential office functions
(enhanced area lighting, even basic voice telephones).
PoE is getting an increasing amount of attention and design-in from smart building and industrial-automation
engineers for many reasons, three of which stand out:
- First, with the formal approval of the third-generation standard for PoE, it can supply a substantial amount
of power – approximately 100W – to support a wide range of applications, peripheral devices, and
loads.
- Second, the approval of PoE's single-pair Ethernet (SPE) standard means that PoE no longer requires more
costly multipair cabling and somewhat fragile connectors and now is a good installation, performance, and
cost match for smart buildings and industrial applications.
- Third, component vendors have introduced the needed ICs and passive components, supported with validated
reference designs and embedded firmware so that OEMs can design and manufacture the required PoE interface
systems and circuitry.
Note that PoE is not unique in combining power and data over a single wire or cable, as there’s a long
history of engineers doing similar combinations in other settings. For example, USB has become both a data bus
bit and a DC power bus with complicated signaling, handshaking, and sequencing. As a result, USB, in its latest
iteration, can provide significant power to a load, independent of its high-speed data function.
In the pre-digital days, engineers devised a way to send power to the preamplifier built into many types of
microphones by using the same cable which carried the audio signal back to the main amplifier, in a technique
called “phantom power.” Similarly, the DC power for the low noise block (LNB) RF preamplifier
mounted on an outdoor small-aperture dish antenna is provided via the same coaxial cable, which sends the
boosted RF signal back to the system’s RF front end.
What are the benefits of using PoE for smart buildings and industrial applications? It comes down to basics: it
saves on wiring cost and complexity, it reduces the number of distinct “networks” needed (one for
data, one for power); it is a safe, low voltage (48VDC nominal); it does not require an electrician to install
or have to meet building codes for higher-voltage wiring, and it eases the path to widely dispersed devices in a
residential or commercial building or plant. It’s a better alternative to installing many local AC/DC
supplies and their AC wiring, batteries alone, or extra DC-only power runs.
Standards Define the PoE World
Key to the viability of PoE as Ethernet connectivity and power delivery link are standards defined by the
Institute of Electrical and Electronics Engineers (IEEE). The first iteration of PoE, designated IEEE 802.3af,
could deliver only about 15W. At the same time, a subsequent version a few years later, informally called PoE+
but formally IEEE 802.3at, increased this to 25W. The most recent version, known as PoE++ before being
formalized as IEEE 802.3bt, increased the power to 90W.
Each step up requires a somewhat more complicated type and cable-pair arrangement for the multipair cable (Cat 3,
Cat 5, Cat 5e, or Cat 6 A) and associated RJ-45 connector and its wiring. These three PoE standards are upward
compatible, so the lower-power connections and loads can be used on the higher-power cabling and connections;
downward power/connector compatibility is not supported.
A recently approved PoE standard IEEE 802.3cg-2019 (IEC 63171-6) for SPE is even more promising for smart
buildings of all types. This dramatically simplifies and reduces the cost of the cabling and connectors while
supporting data rates up to 10Mbps and is adequate for many dispersed or outlying applications.
PoE: Internally Sophisticated
It’s one thing to say that it is a good idea to get double duty from a single copper interconnect.
It’s another thing to figure out how to do it while not corrupting or slowing down the data, while
simultaneously ensuring the integrity and performance of the PoE system in the event of a problem, fault, or
even a short circuit at one of the powered devices. Imposing DC power onto the copper wires at a source end and
then having a load device extract it at the other end requires a complicated and sophisticated arrangement,
especially as this must be transparent to the user who is connecting and disconnecting PoE-enabled devices.
For PoE, the three essential components needed are:
- The equipment that delivers power to the cable (often referred to as a PSE for power sourcing equipment).
The PSE may either be an "Endspan” (a PoE switch) or a “Midspan” (a PoE power injector)
located along the Ethernet cable, closer to the loads.
- The device that receives its power from the cable (the powered device, or PD). Typical PDs include
IP-enabled cameras, wireless access points, lighting units, security devices, and HVAC controllers, for
example.
- The cable itself includes various "CAT-X” designations to support the different PoE standards.
The PSE would usually be a PoE-enabled network switch or a midspan power injector, patched in to add PoE
capability to a non-PoE network switch channel, or similar (Figure 1).
Figure 1: A PoE network switch can deliver power to a PD, such as an IP
camera, over its
data cable;A midspan PSE can be used to add PoE capability to standard network switch channels. (Image
source:
Veracity/UK)
This high-level diagram is just that: a “big-picture” overview. A PoE system requires a
significant
amount of circuitry (ICs and passive components) within the PSE and suitable CAT cabling to make it all look
like a "plug and play" arrangement to someone who plugs in a PoE-enabled powered device and expects it to
function. This circuitry must integrate the supplied DC power with the Ethernet data signals at the PSE and
then
separate them for use at the PD (Figure 2).
Figure 2: A PoE link requires considerable support circuitry in addition to
the physical-layer
IC (PHY including transformers to combine data and power at the PSE and split them at the PD, along with
bridges
to rectify the AC power into the DC rails needed. (Image source: Veracity/UK)
A complicated back-and-forth identification, query, and response protocol are needed between the PD and
the PSE
to initiate, manage, and maintain the PoE link. It takes many state and timing diagrams to fully
describe the
many normal operating sequences and accommodate all the “abnormal” but possible conditions.
These
sequences inform the PSE and the PD of the system status, their status, what the PD needs, what the PSE
can
provide, and checks for out-of-bounds conditions.
The status and power needs of the PD must be considered in the larger PoE system context. For this
reason, the
PoE specification includes additional features for efficiency, reliability, and safety, and
“classification” is one of these features. As part of the start-up process, when a PoE
connection is
made, the PD can “advertise” its power class to indicate how much power it requires to
operate to
ensure the PSE can provide it. There are five power classes in total, but only three different bands of
power
level into which devices can fall (Table 1). The difference between what the PSE can
deliver in
each classification and what the PD needs to operate is due to unavoidable I2R power loss in
the
cable.
Table 1: PSE and PD power limits by class (Image source: Veracity/UK)
Fortunately, the PoE system designer does not need to delve into the PoE operational details as ICs
are now
available that embed and implement them. These ICs manage the power flow, sequencing, protocol, and
other
considerations which need to be executed and monitored for an effective and reliable PoE power and
data link.
For example, the Analog Devices
ADIN1110 is
an ultralow power, single port 10BASE-T1L transceiver design for industrial Ethernet applications
(Figure 3). It is compliant with the IEEE 802.3cg-2019 Ethernet standard for long
reach, 10Mbps
SPE. This IC is designed for edge node sensors and field instruments deployed in building, factor,
and process
automation. It operates from a single power supply rail of 1.8V or 3.3V and is available in a
40-lead, 6 mm
× 6 mm lead frame chip package (LFCSP).
Figure 3: The Analog Devices ADIN1110 MAC-PHY is compliant with the IEEE
802.3cg-2019 Ethernet
standard for long reach, 10 Mbps single pair Ethernet, and is designed for edge node sensors and field
instruments. (Image source: Analog Devices)
What about SPE?
SPE provides new options for implementing a PoE system, as it is a better match to the needs of
smart buildings.
It has advantages in this setting compared to traditional Ethernet and the various CAT cables.
Among these are
thinner, less costly cables and connectors that are easier to manage and pull, reduced space
requirements and
lower weight, smaller bending radii for easier installation in cramped areas, and reduced use of
resources such
as copper and insulation.
SPE is not designed to replace the existing Ethernet infrastructure. At present, the maximum
speed for SPE is
10Mbps (longer distance) to 1Gbit/sec (shorter distance) and only up to a distance of forty
meters. In contrast,
8-wire Ethernet can extend up to one hundred meters at ten and more Gbit/sec
(Figure 4).
Figure 4: SPE greatly reduces the Ethernet cabling BOM and installation
costs, but with a
reduction in maximum available throughput and data rate. (Image source: HARTING)
[Note: SPE was initially developed to meet the demands of the automotive industry — smaller,
lighter cables and connectors for transmitting data from the numerous sensors involved in adaptive cruise
control, parking assist, autonomous driving, and other onboard systems. The lower data rate, tightly
constrained, and shorter distances of automotive applications were a good fit for early SPE
developments.]
Unlike conventional Ethernet, where the individual user ports radiate from a central switch,
SPE supports a
daisy-chain topology. Adding more ports to a conventional Ethernet arrangement requires more
ports and a larger
switch, while maximum latency – the time lag and uncertainty for data between the port
and the switch
– is limited and known in advance.
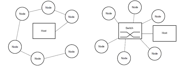
In contrast, daisy-chaining allows for easy expansion to handle more ports, but latency
increases as the chain
are extended, especially for ports and devices far along the chain
(Figure 5). However, for
typical SPE applications, the latency is still short enough, while the connectivity benefits
are worth it. The
ability to easily extend the link to new ports via this topology is a good fit with SPE's
target installations.
Figure 5: While “conventional” Ethernet requires that each port
be connected
directly to a switch (right), SPE allows for daisy-chain interconnection and extension to new ports. (Image
source: Texas Instruments)
SPE does not define a single solution with the same structure for every application
(automotive versus smart
building versus industrial). Instead, it is a foundation technology in which different
combinations of parts can
be selected and integrated to create an optimized solution for what is also called Power
over Data Line (PoDL).
Different SPE protocols with different transmission speeds, link lengths, and topologies
can be selected for
varying applications. These are SPE variations defined by 10BASE-T1S, 10BASE-T1L,
100BASE-T1, and 1000BASE-T1
standards.
Another part of what makes SPE attractive for its target applications is the rugged,
low-cost connector options.
For example, HARTING
T1 connectors for
building cabling have an SPE mating face as defined by IEC 63171-1
(Figure 6). These connectors
have a MICE rating (for Mechanical robustness, Ingress IP degree, Climatic resistance,
and Electromagnetic
safety) of M1I1C1E1, which is suitable for the environment of an office building.
Figure 6: The SPE connector pair shows the simple, rugged implementation
which the two-wire
standard supports. (Image source: HARTING)
Filling out the PoE BOM
It takes much more than sophisticated ICs and obvious connectors to make PoE
possible: it also takes passive
components of many types. It's somewhat ironic that a transformer – among the
most "ancient" of electrical
components – is needed for PoE. These transformers superimpose the
high-frequency Ethernet data signal
onto the same cable, injecting the PoE DC power (typically 48VDC) at the PSE end,
while complimentary
transformers at the PD end separate the Ethernet data from the DC power and direct
the power to the PD
circuitry.
One example is the Bourns SM13143EL,
a
dual-port LAN 10/100/1000 Base-T PoE++ transformer for all classes of Ethernet
applications (Figure
7). It contains eight 1:1 transformers that meet all relevant ratings, with a footprint of about
11
× 28mm and 8mm height.
Figure 7: This multichannel transformer provides critical isolation and
coupling for eight PoE
wire pairs. (Image source: Bourns, Inc.)
As they couple power and signal, the transformers also provide galvanic (ohmic)
isolation, so problems or
failures in the port do not induce a ripple effect of problems in the network.
For example, this can include a
PD failure or even a malicious act if someone shorts out the connector with a
paper clip.
The PoE standards and good engineering practice also require protection against
line surges due to lightning or
nearby motors starting/stopping. One external protection device (which is
separate from used within the PSE or
PD for other types of protection) is the ESP-100-POE
Network
Lightning/Surge Protector from Laird Connectivity
(Figure 8).
Figure 8: PoE standards also call for protecting the system and circuitry against lightning and
other volage surges; this protection can be provided using this RJ-45-connector unit. (Image source: Laird
Connectivity)
The all-metal cast enclosure and shielded RJ-45 connectors provide good EMI
noise suppression with integral
mounting feet that can be screwed to a metal chassis to provide proper; as
an alternative, there is an integral
ground wire provided which can be connected to a ground for those systems
that require a single-point ground
connection. The devices are compatible with 100Mbps data and 48V POE
systems, with protection on all eight PoE
pins (7.5 V clamping on data pins 1, 2, 3, and 6 plus 70V clamping on POE
pins 4, 5, 7, and 8).
Conclusion
Implementing a PoE design and providing a PSE or PD circuit for PoE is
complex. Fortunately, the needed
components and support are now widely available, thus allowing
smart-building and industrial applications to
take advantage of the benefits of PoE. PoE saves on wiring costs due to the
lower voltage and single unified
data/power cable, but the installation is physically more manageable and can
be done by non-electricians. For
dispersed, lower-throughout applications, the SPE version of PoE provides an
even more cost-effective way to get many to the benefits of PoE, along with
new options for topology and connectors.
Author Bio
Bill Schweber is an
electronics engineer who has written three textbooks on electronic communications systems, as well as hundreds
of technical articles, opinion columns, and product features. In past roles, he worked as a technical web-site
manager for multiple topic-specific sites for EE Times, as well as both the Executive Editor and Analog Editor
at EDN.
At Analog Devices, Inc. (a leading vendor of analog
and mixed-signal ICs), Bill was in
marketing communications (public relations); as a result, he has been on
both sides of the technical PR
function, presenting company products, stories, and messages to the
media and also as the recipient of these.
Prior to the MarCom role at Analog, Bill was associate
editor of their respected technical
journal, and also worked in their product marketing and applications
engineering groups. Before those roles,
Bill was at Instron Corp., doing hands-on analog- and power-circuit
design and systems integration for
materials-testing machine controls.
He has an MSEE (University of Massachusetts) and BSEE
(Columbia University), is a Registered
Professional Engineer, and holds an Advanced Class amateur radio
license. Bill has also planned, written, and
presented on-line courses on various engineering topics, including
MOSFET basics, ADC selection, and driving
LEDs.